BMW 188mm (Medium case) LSD | Clutch-type, Fully adjustable

Normaler Preis CHF 2,160.00
Product details
  • Verkäufer RacingDiffs

Do you have questions about this product?

Ask an expert!

Unlock Superior Performance with the BMW 188mm Limited Slip Differential Unit

Elevate your BMW's capabilities with the revolutionary BMW 188mm Limited Slip Differential (LSD) Unit by RacingDiffs. Tailored for enthusiasts who seek the pinnacle of driving performance, durability, and adaptability, this LSD unit redefines the limits of your vehicle. Crafted with unmatched precision and designed for those who demand excellence, our LSD unit transforms your drive into an unparalleled experience.

Forged to Last: Our BMW 188mm LSD Unit is built with fully forged internals and housing, utilizing the finest materials for extraordinary strength and longevity. This construction ensures your LSD is ready to tackle any challenge, providing reliability when you need it most.

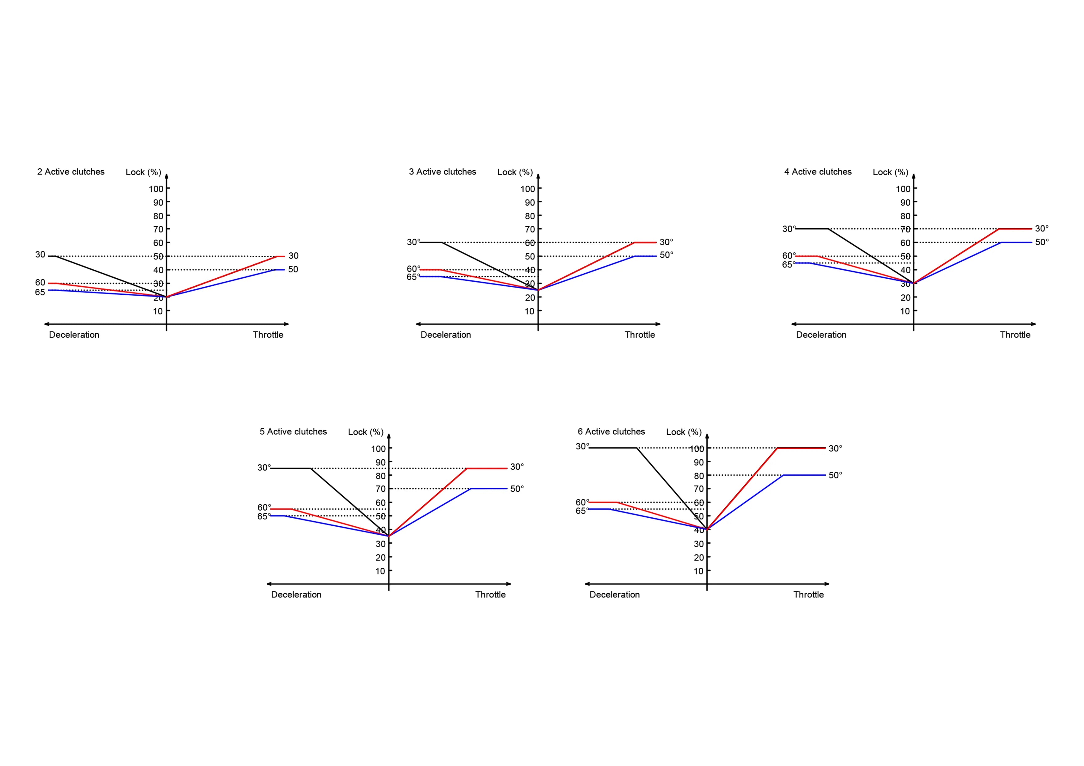
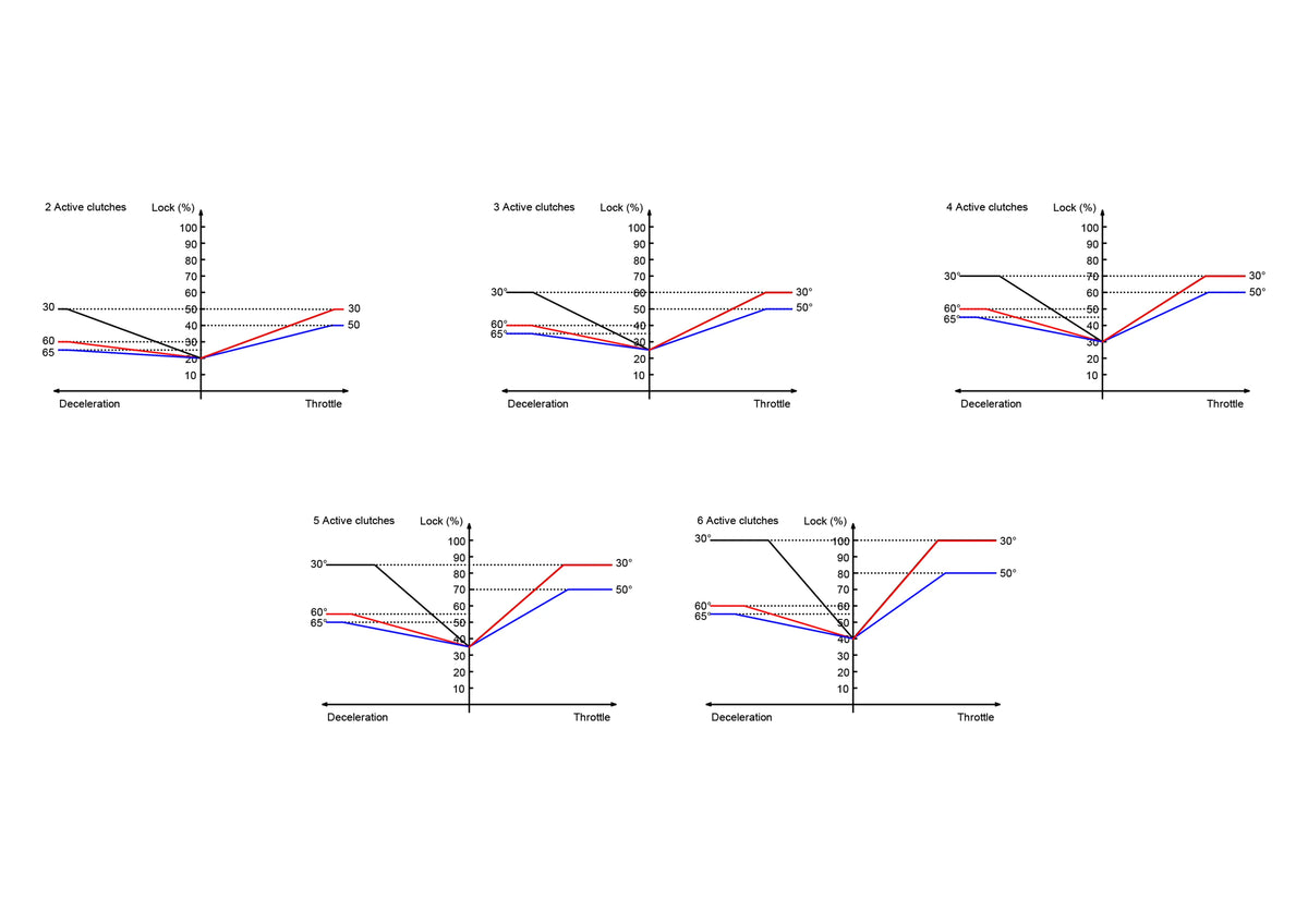
Adaptable Performance for Every Adventure: Whether you're on the track, off the beaten path, or cruising the streets, the BMW 188mm LSD Unit offers adaptable performance to suit your driving needs. Choose from three distinct ramp angle positions to customize your driving experience:

  • 30/30 Setting: For an aggressive 2-way setup, ideal for high-intensity drifting.
  • 30/60 Setting: A versatile 1.5-way setup, perfect for a range of motorsports or exploring your vehicle's capabilities.
  • 50/65 Setting: For a smoother locking experience, blending daily driving comfort with the thrill of track days.

Innovative Clutch Plates with a Lifetime Warranty: Equipped with six Molybdenum-ceramics clutch plates, our BMW 188mm LSD Unit guarantees peak performance under any conditions. Backed by a Lifetime Warranty, these clutch plates are a testament to our commitment to quality and your driving satisfaction.

Optimized for Comfort and Performance: Designed for noise-free operation with optimal preload, our LSD unit ensures a seamless driving experience when using recommended high-quality LSD oil, such as Motul Gear Competition 75w140.

Perfect Fit for BMW Models with 188mm Differential: Specifically engineered for BMW vehicles equipped with a 188mm differential, this LSD unit integrates flawlessly, enhancing traction, handling, and performance across various models.

Fitment list:

  • E30: 320i, 320is, 323i, 324td, 325i, 325e, 325ix, M3
  • E36: 320i, 323i, 325i, 325tds, 328i, M3 S50
  • E28: 518i, 520i, 524td, 525i, 525e, 528i, 533i, 535i
  • E34: 518i, 520i, 524tds, 525i, 525ix, 530i, 535i 
  • E24: 628i, 633csi, 635csi
  • E23: 728i, 732i, 733i, 735i
  • E32: 730i, 735i
  • E38: 730i Prefacelift
  • Z3: 2.2i, 2.5i, 2.8i, 3.2 M
  • Z1: M20

Transform your BMW with the 188mm Limited Slip Differential Unit from RacingDiffs and experience a new level of performance and reliability. It's not just an upgrade; it's a revolution for your vehicle's capabilities.

Installation Note – Setting Backlash & Gear Contact

To finish the swap you’ll need the correct carrier-adjustment shims.
These shims let you:

  • Dial-in factory backlash (0.08 – 0.12 mm on most BMW ring-and-pinion sets)
  • Center the ring gear for a perfect gear-contact pattern
  • Eliminate whine, premature wear and heat build-up

TIP: We stock complete shim/C-clip packs in 0.1 mm increments so you can fine-tune preload and backlash without hunting for OEM spacers.

Watch before you wrench: Our 8-minute installation video walks you through pressing bearings, measuring backlash with a dial indicator, selecting shims, and checking contact with marking compound.

*Due to continued product improvement, the product illustrated on the photo may vary slightly from the actual product.