BMW 168mm (small case) LSD | Clutch-type, Fully adjustable

Normaler Preis CHF 1,505.00
Product details
  • Verkäufer RacingDiffs

Do you have questions about this product?

Ask an expert!

Elevate Your Performance with the BMW 168mm Limited Slip Differential Unit

Unlock the full potential of your BMW with the advanced BMW 168mm Limited Slip Differential (LSD) Unit from RacingDiffs. Designed for drivers who demand the best in performance, durability, and adaptability, this LSD unit is a game-changer for your vehicle. Crafted with precision and engineered to exceed expectations, our LSD unit transforms your driving experience, offering unparalleled control and efficiency.

Unmatched Durability with Fully Forged Construction The BMW 168mm LSD Unit stands apart with its fully forged internals and housing. Made from the highest quality forged materials, it offers exceptional strength and longevity, ensuring that your BMW is equipped to handle the demands of any driving condition.

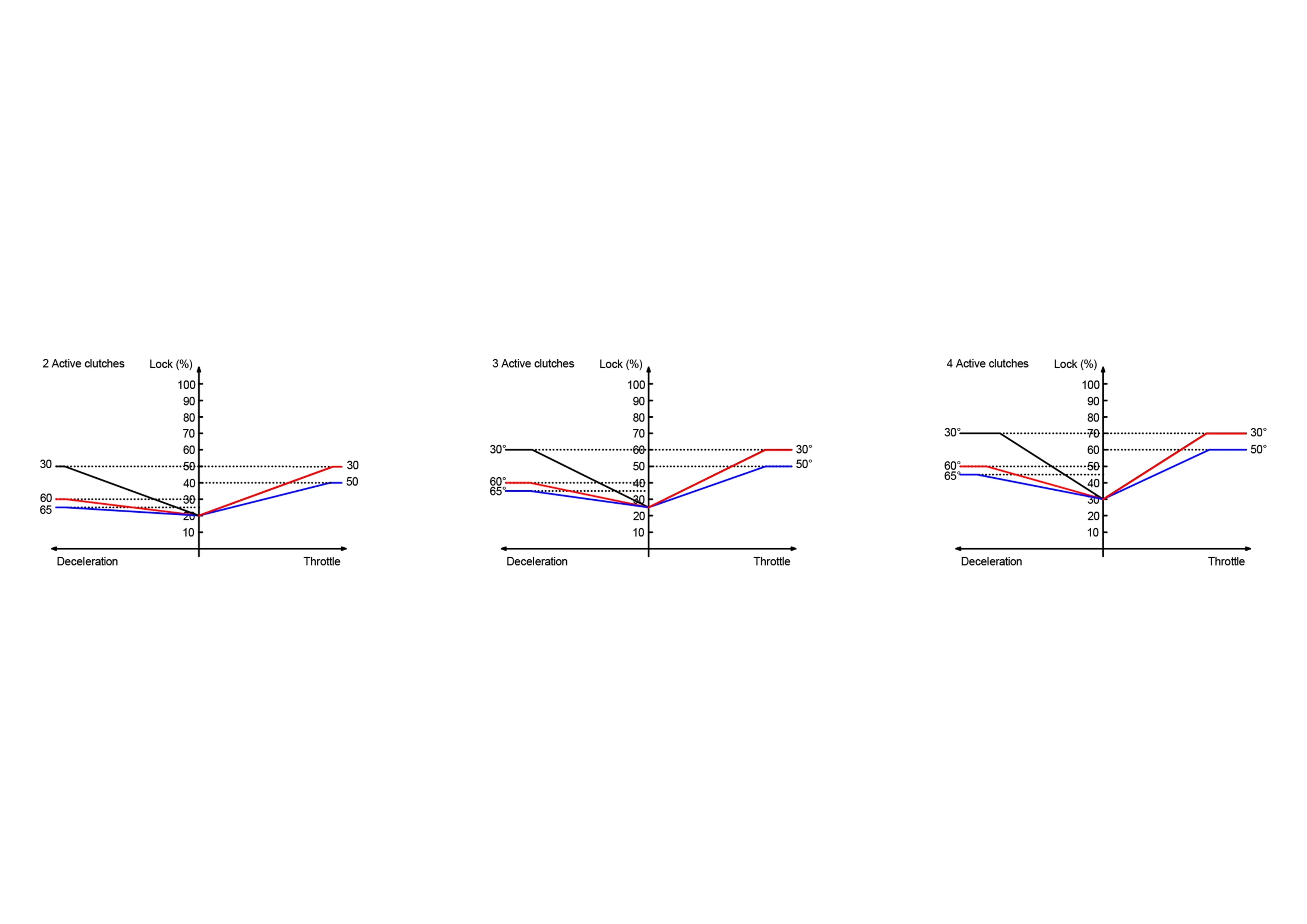
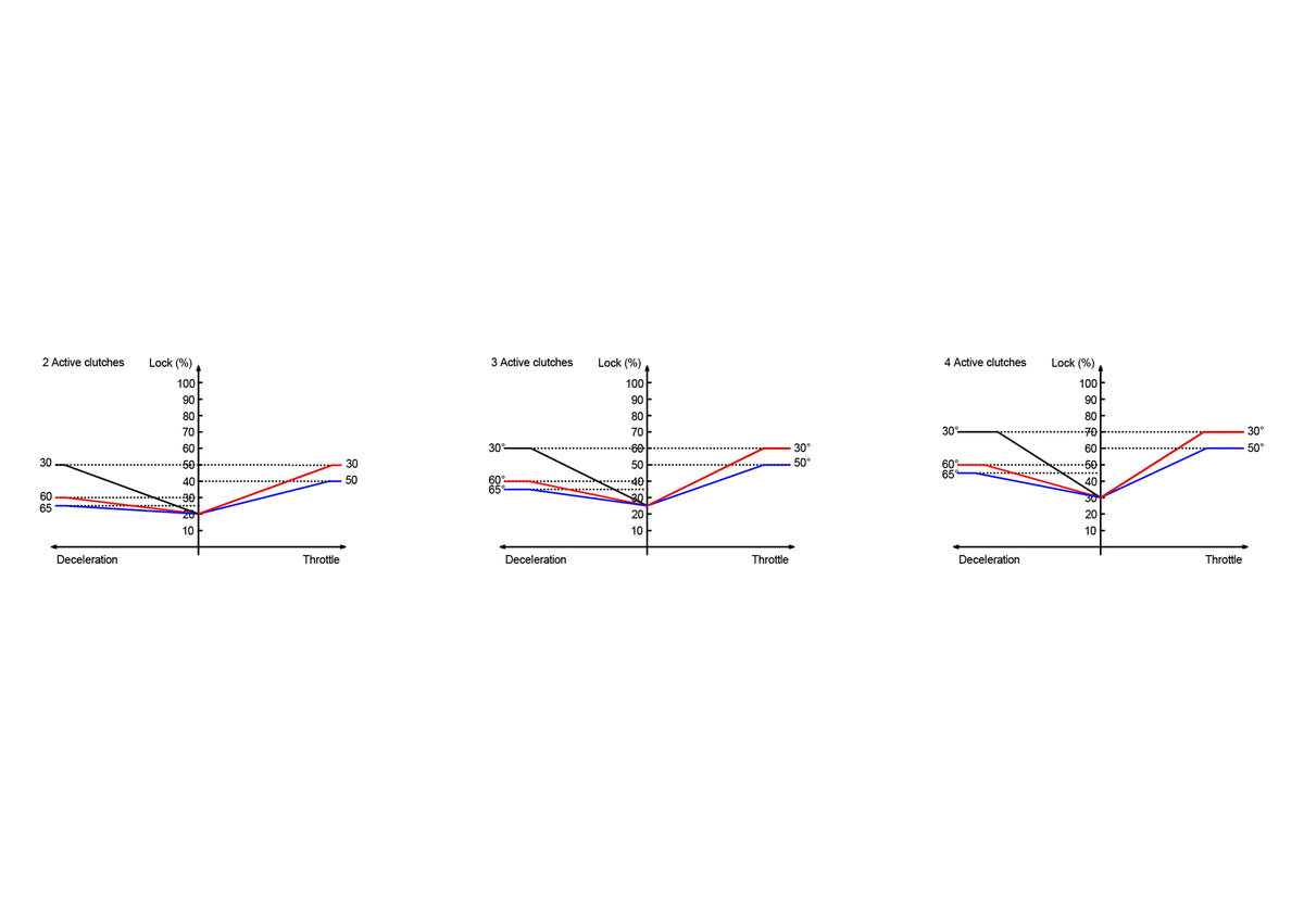
Customizable Performance for Every Driver With its fully adjustable design, the BMW 168mm LSD Unit caters to a wide range of driving preferences and conditions. Whether you're carving corners on the track, powering through a hill climb, or enjoying a spirited drive on the open road, our LSD unit offers three distinct ramp angle positions for tailored performance:

  • 30/30 Setting: Ideal for aggressive 2-way setup, perfect for professional drifting.
  • 30/60 Setting: A versatile 1.5-way setup, optimal for a variety of motorsports including hill climbing, rally, circuit racing, and time attacks.
  • 50/65 Setting: Designed for drivers seeking a smoother locking experience for everyday street use and occasional track days.

State-of-the-Art Clutch Plates with Lifetime Warranty Equipped with four Molybdenum-ceramics clutch plates, the BMW 168mm LSD Unit delivers reliable performance under the most strenuous conditions. We back these high-quality clutch plates with a Lifetime Warranty, ensuring your peace of mind and confidence in your investment.

Noise-Free Operation with Optimal Preload Thanks to its optimal preload level and compatibility with high-quality LSD oil, such as Motul Gear Competition 75w140, the BMW 168mm LSD Unit operates seamlessly, without any unwanted noise or vibrations. This ensures a comfortable and enjoyable driving experience, regardless of where your adventures take you.

Seamless Integration for BMW Models Engineered specifically for BMW vehicles with a 168mm differential, this LSD unit offers a perfect fit and easy installation, enhancing a wide range of models with improved traction, handling, and performance dynamics.

Fitment list:

  • E30: 316i, 318i, 318is
  • E36: 316i, 318i, 318is, 318ti,
  • Z3: 1.8i, 1.9i,
  • E21: 323i

Discover the ultimate upgrade for your BMW with the 168mm Limited Slip Differential Unit from RacingDiffs. Experience the difference in performance, reliability, and driving pleasure with an investment that redefines what your vehicle can do.

Installation Note – Setting Backlash & Gear Contact

To finish the swap you’ll need the correct carrier-adjustment shims.
These shims let you:

  • Dial-in factory backlash (0.08 – 0.12 mm on most BMW ring-and-pinion sets)
  • Center the ring gear for a perfect gear-contact pattern
  • Eliminate whine, premature wear and heat build-up

TIP: We stock complete shim/C-clip packs in 0.05 mm increments so you can fine-tune preload and backlash without hunting for OEM spacers.

Watch before you wrench: Our 8-minute installation video walks you through pressing bearings, measuring backlash with a dial indicator, selecting shims, and checking contact with marking compound.

*Due to continued product improvement, the product illustrated on the photo may vary slightly from the actual product.